|
公司基本資料信息
未注冊
|
|||||||||||||||||||||||||
詳細(xì)說明
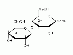
D(+)-纖維二糖98+%
D-(+)-Cellobiose, 98+%
CAS 528-50-7
MDL MFCD00136034
EINECS: 208-436-5
別名: 4-O-beta-Glucopyranosyl-D-glucose
分子式: C12H22O11
分子量: 342.30
熔點(diǎn): ca 240° dec.
共0條 [查看全部] 相關(guān)評論




